首先,建议您不要太在意一些人的不当言论,毕竟他们不了解合肥的一模二模的难度!
其次,不建议你高考前过度关注这个问题。
近几年学生高考分数、排名和最终录取情况和学校都有详细数据。孩子成绩出来后直接找班主任给些建议和参考院校即可。
实在不放心,也可以考虑社会上的一些高考指导机构,他们手里的高考数据也很完善,多参考一些人的意见总是好的。
第三,孩子现在的成绩不代表高考,最后这月孩子还有可能有较大的进步,您可以先根据情况对学校和专业做个初步的了解,建议上下在20分左右。
第四,高考志愿填报建议充分征求孩子的意见。现在很多孩子在大学里很不努力,其中就有一些是因为高考父母迫使孩子选择了自己不喜欢的学校或专业!
第五,选专业时要充分相信孩子,兴趣是最好的老师,孩子如果有明确的目标,相信兴趣给他(她)带去的激情,会让他(她)走的更高更远,拥有更好的发展。
预祝金榜题名🙏🙏🙏
我看了其他创作者的回答,实际上他们都不了解安徽省的考情。
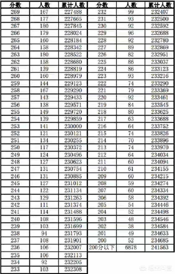
安徽省如果想知道可以报考哪些大学,可以参考安徽往年“一分一段”表,而如果仅仅根据往年分数给你罗列一些大学的名称,那是不准确、不科学的,因为每年的招生计划、试题难度、录取人数、考生平均分数都是在不断变化的。(在最下面我会附上安徽2018年一分一段表)
那么什么是一分一段表?一分一段表又有什么用呢?
首先我们要明确,一分一段表是专业人士填报志愿或者是录取考生都会参考的一张表格。哪怕是招生院校在设定录取人数招生计划时,也会参考这一张表格,先判断自己的学校在全国处于什么位置,然后又会看一看在全省处于什么样的位置,最后再根据自己的地理区位优势来确定招生计划。
它显示每一个分数全省考生有多少名,能让你计算出自己的排位。目前的段表,是将全省同科类考生的档案分 (考生总分+政策加分 )从高到低排列(分数相同的则为并列),再按 每“1”分一段,统计“本段人数”;从本段向上一直到最高分段的所有“本段人数”相加,则为“累计人数”。一分一段表上显示出每一个分数全省的考生有多少名,这个数据的参考价值最大。
一分一段表内对每一个分数线上有多少考生,该分数线以上有多少考生进行了详细统计。 在填报志愿时,首先参考自己在全省的排位,再看想选报学校的招生计划,最好是计算一下同等梯度的高校在安徽招生计划总和,结合自己的排位,从而较好地选报志愿。
可以关注我,有什么不明白的再追问我。








评论列表 (0条)